Sijos žemomis lentynomis (RTL, RLL)
Bendra informacija

Pasirenkant sijų skerspjūvius vadovautis 2 ir 3 pav. pateiktais išmatavimais, kadangi šie elementai gaminami specializuotose formose. Standartinis tokių sijų lentynos aukštis yra 80 mm, ribinė skaičiuojamoji lentynos apkrova siekia 90,0 kN/m. Paprastai sijos aukštis yra lygus perdangos plokštės (HCS200/250/300/400) ir lentynos aukščių sumai. Leistina aplinkos poveikio klasė sijoms – XC1, XF1; ugniaatsparumas – R90.
Ekonomiškiausias sprendimas yra gaminti kiek įmanoma ilgesnes daugiaatrames sijas mažinant reikalingų sujungimų skaičių. Labai svarbus sijų jungimų vietų išdėstymas, nes tai daro įtaką montavimo eiliškumui ir krypčiai. Maksimalūs galimi sijų ilgiai pateikti 1 lentelėje.
1 Lentelė. Maksimalūs sijų ilgiai (vieno surenkamo elemento).



Tvirtinimas (sujungimas)
Naudojant daugiaatrames nekarpytas sijas su žemomis lentynomis kolonos projektuojamos per vieną pastato aukštą (kraštinės kolonos gali būti apjungtos per kelis aukštus, jeigu sijos atremiamo ant kolonų konsolių). Apatinė kolona su viršutine jungiama inkariniais varžtais arba strypais (vienas arba du inkariniai varžtai/strypai). Jei naudojami du tvirtinimo elementai jie išdėstomi išilgai sijai vienoje linijoje per centrinę ašį. Strypai praveriami per sijoje numatytas kiaurymes. Sijos atremiamos ant kolonos per neopreno padėklus arba remiamos ant metalinės plokštelės kolonos galvenoje. Sijos inkarinės kiaurymės sumontavus elementą užpildomos nesitraukiančiu betonu ( jei nenurodyta kitaip).
2 Lentelė. Sijų jungimo detalių PU/TU techninės charakteristikos.

Sijos tarpusavyje jungiamos naudojant tam skirtas įdėtines detales PU/TU. Sijos žemesnės nei 345 mm aukščio gali būti sujungiamos tik naudojant mažiausias jungimo detales (PU/TU220). Jungimo detalių techninės charakteristikos pateiktos 2 lentelėje.
Perdangos plokščių inkaravimo armatūra įrengiama per sijoje numatytas kiaurymes (paprastai 60/80 mm diametro), kurios pilnai užpildomos betonu monolitinant perdangų galus ir siūles. Naudojant RLL tipo sijas papildomai reikia įvertinti sijos sukimą (vertimą) dėl nesimetrinės apkrovos. Sijos sukimo (suvirtimo) išvengiama prieš montavimą paramstant sijas ir įrengiant skaičiavimais parinktą inkarinę plokščių armatūrą.
Darbinės charakteristikos
Stiprumas
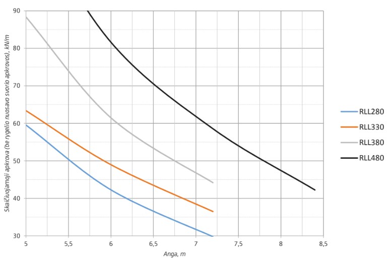
Grafikuose (5 ir 6 pav.) pateiktas leistinųjų apkrovų vertes sudaro siją veikiančių pastoviųjų ir kintamųjų poveikių skaičiuotinių reikšmių suma, neįvertinus sijos savojo svorio apkrovos. Pavyzdžiui, sijos laikančios tik perdangą leistinąją apkrovą sudaro perdangos plokščių bei grindų sluoksnių svorių bei naudojimo apkrovų skaičiuotinių verčių suma.
Darbinių charakteristikų kreivės (5 ir 6 pav.) pateiktos daugiaatramėms nekarpytoms sijoms su šarnyriniais jungimais nulinio momento zonoje. Tokių sijų supaprastinta skaičiuojamoji schema pateikta 7 pav.
Esant skirtingoms angoms ir/arba apkrovoms būtina atlikti detalius sijos statinius skaičiavimus, įvertinant faktinius jungimo vietų išdėstymus. Gautos įrąžos sijos atramoje ir angoje negali būti didesnės už laikomąsias galias nurodytas 3 lentelėje.

3 Lentelė. Sijų laikomųjų galių lenkimui suvestinė (neįvertinus jungimo detalių PU/TU stiprumo).




Svoris
4 Lentelė. Sijų vieno tiesinio metro nuosavo svorio charakteristinės apkrovos.

Elemento formavimo specifika ir naudojamos įdėtinės detalės
Formavimo specifika
Dažnai naudojamos įdėtinės detalės
Numatant gaminyje įdėtines detales svarbu žinoti

Jungtys

Leistinieji nuokrypiai

a) priimama didesnė reikšmė
Sandėliavimas, kėlimas, montavimas
Sijos keliamos už kėlimui numatytų kilpų kurios gali būti trosinės, plieninės bei (rečiau) įsukamos.
Sijų su žemomis lentynomis montavimas atliekamas keliais etapais. Sija pastatoma į projektinę padėtį ir priveržiama varžtais. Svarbu, kad prieš remiant ant RTL ir RLL sijų kitus perdangos elementus sijos būtų paramstytos. Tinkamas paramstymas užtikrina, kad sija nepakeis savo projektinės padėties ją netolygiai apkraunant. RTL sijas apkrovus simetriškai, paramstymas nuimamas. Jeigu ant abiejų
lentynų perduodamos apkrovos panašios, sijos sukimas yra nereikšmingas. RLL sija turi tik vieną lentyną, todėl sukimą keliančios jėgos panaikinamos įrengiant mazgą pagal 11 pav. Sijos su perdangos plokštėmis sujungiamos armatūra, o tarpai užbetonuojami. Betonui pasiekus reikiamą stiprumą paramstymai nuimami. Jeigu sukimo momento įprastu būdu suvaržyti neišeina gali prireikti papildomų priemonių, kurias reikia įvertinti projektavimo metu.


Atsisiųskite RTL, RLL Sijos.