TT SKERSPJŪVIO PERDANGOS PLOKŠTĖS
Bendra informacija
Šio tipo plokštės naudojamos didelėms angoms perdengti bei esant padidintoms naudojimo pkrovoms. TT skerspjūvio plokštės plačiai taikomos prekybinių, gamybinių, parkavimo paskirties pastatų perdangų ir denginio konstrukcijoms. Šie elementai gaminami iki 2860 mm pločio ir 900 mm aukščio. Galimos įvairios geometrijos konfiguracijos. Pasirenkamieji duomenys pateikti schemoje (1 pav.). Svarbu žinoti, jog vidinė elemento klojinio dalis tarp briaunų nekinta. Taip pat nekinta ir klojinio plokštumų kampai. Galima keisti briaunų plotį ir aukštį. Taip pat galima keisti lentynų aukštį. Schemoje pateikti optimaliausi ir ribiniai gabaritai, tačiau taip pat galimi nestandartiniai briaunų pločių ir aukščių bei lentynos storių variantai. Įmanoma pagaminti ir iki 3200 mm pločio gaminį, tačiau tokiam gaminiui reikia perkonfiguruoti klojinius ir gaminio savikaina neracionaliai išauga. Svarstant nestandartinius sprendimus visada verta susisiekti su UAB Betonika projektavimo ar pardavimo skyriais.
Darbinės charakteristikos
Stiprumas
Grafikuose pataiktas leistinųjų apkrovų vertes sudaro plokštę veikiančių ilgalaikių, trumpalaikių ir kintamųjų apkrovų sumų skaičiuotinės reikšmės, neįvertinant plokštės savojo svorio apkrovos.

1 pav. 2400mm nominalaus pločio TT plokščių geometrijos kintamieji.

2 pav. 2400mm pločio ir 500mm aukščio (450mm aukščio briauna ir 50mm storio lentyna) TT plokščių darbinių charakteristikų kreivės keičiantis briaunos storiui ir lynų kiekiui.

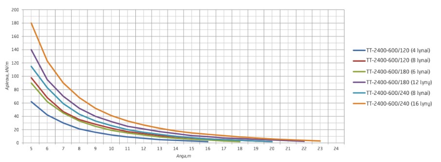
3 pav. 2400 mm pločio ir 600 mm aukščio (550 mm aukščio briauna ir 50mm storio lentyna) TT plokščių darbinių charakteristikų kreivės keičiantis briaunos storiui ir lynų kiekiui.
Atsparumas ugniai
TT skerspjūvio perdangos plokščių atsparumas ugniai yra nuo R60 iki R180. Atsparumas ugniai labai priklauso nuo plokščių briaunų geometrijos. Plokščių briaunoms siaurėjant ugniaatsparumas mažėja.
Elemento formavimo specifika ir naudojamos įdėtinės detalės
Formavimo specifika

4 pav. 2400mm pločio ir 700mm aukščio (650mm aukščio briauna ir 50mm storio lentyna) TT plokščių darbinių charakteristikų kreivės keičiantis briaunos storiui ir lynų kiekiui.

5 pav. 2400mm pločio ir 800mm aukščio (750mm aukščio briauna ir 50mm storio lentyna) TT plokščių darbinių charakteristikų kreivės keičiantis briaunos storiui ir lynų kiekiui.
1 lentelė. Angų TT perdangos plokštėje galimi maksimalūs gabaritai.

Dažnai naudojamos įdėtinės detalės
Jungtys
Pagrindiniai TT perdangos plokčių jungimo mazgai pateikti žemiau esančiuose iliustracijose (visi jungimo elementai turi būti parenkami pagal veikiančias įrąžas tarp jungiamų elementų).

6 pav. Angos TT perdangos plokštėje.
Leistinieji nuokrypiai

Pastabos:
1) Matavimuose priimamos didesnės reikšmės.
2) Išlinkis sandėliavimo stadijoje skaičiuojamas sąlygomis, kai elemento stiprumas pasiekia projektinį ir jį veikia nuosavas svoris ir išankstinio įtempimo apkrovos.
3) Maksimalus išlinkio bei atleidimo ar sėdimo plyšių plotis sandėliuojamiems gaminiams ( jų sandėliojant neapkraunant) gali būti vertinami tik iki 30 kalendorinių dienų laikotarpyje po gaminio pagaminimo.
Sandėliavimas, kėlimas, montavimas
Elementai sandėliuojami ant medinių tašų, padėtų po plokštės galais. Kai plokštės dedamos viena ant kitos, tašai turi būti vienoje linijoje vienas virš kito, o jų aukštis turi būti didesnis už kėlimo kilpų išsikišimus. Taip plokštės kraunamos ir transportavimos metu.





Plokštės keliamos už kėlimui numatytų kilpų kurios gali būti trosinės (dažniausiai), armatūrinės bei (rečiau) įsukamos. Plokščių iškrovimas dažniausia atliekamas keturšakiais kėlimo stropais (grandinėmis), parinktais pagal gaminio svorį ir atstumą tarp kėlimo kilpų (12 pav.). Jei plokštė labai ilga ir sunki (virš 20 m ilgio), joje gali būti suprojektuotos po keturias kėlimo kilpas kiekviename gale. Tuomet gaminys iškraunamas dviem kranais arba vienu kranu, bet naudojant specialiai tam pagamintą traversą ar prailgintus kėlimo stropus. Svarbu, kad kėlimo metu tarp stropo šakų esantis kampas būtų ≤90o. Taip pat tam kad pakelta plokštė neįsisiūbuotų, jos galuose reikia pririšti virves, kuriomis būtų galima ją prilaikyti ir pakreipti reikiama kryptimi.
Iki plokščių montavimo reikia patikrinti ar teisingai ir gerai paremtos rygelių lentynos, kad pradėjus plokščių montavimo darbus, rygeliai nepasvirtų. Taip pat reikia nuvalyti vietas ant kurių bus remiamos TT plokštės ir patikrinti paviršių altitudes. Dažniausiai TT plokštės remiasi per neopreno padėklą, kuris turi būti pritvirtintas plokštės rėmimo vietoje.
Atkreipti ypatingą dėmesį į T skerspjūvio formos (perdangos plokštė su viena laikančia briauna) plokščių montavimo specifiką. Šie gaminiai yra liauni. Keliant ir montuojant plokštes būtina stebėti, kad jos nesusisuktų ir neišlinktų savo vertikalios plokštumos atžvilgiu. Abu gaminio galai turi būti tolygiai ir tiksliai nuleisti ant atraminių paviršių. Priešingu atveju, plokštė dėl savo skerspjūvio formos ypatumų gali pavirsti ir dėl to būti pažeista ar net suirti. Kėlimo ir montavimo metu draudžiama
stumdyti ar sukioti plokštės laisvąjį galą, kai kitas galas yra atsirėmęs į atramą. Kėlimo kablius atkabinti galima tik tuomet, kai pilnai užbaigti visi tvirtinimo mazgų sujungimo ir suvirinimo darbai.
Detalesnė informacija pateikta UAB Betonika montavimo rekomendacijose.


Atsisiųskite TT skerspjūvio perdangos plokštės.